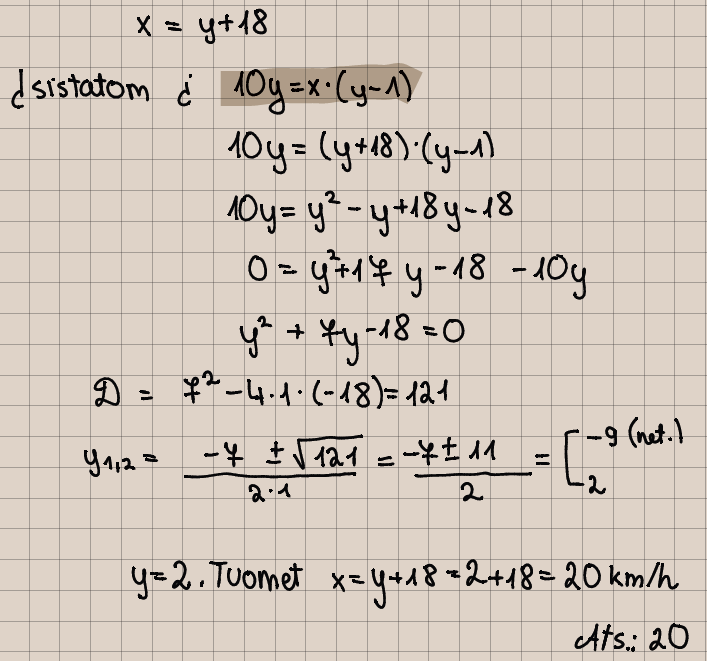
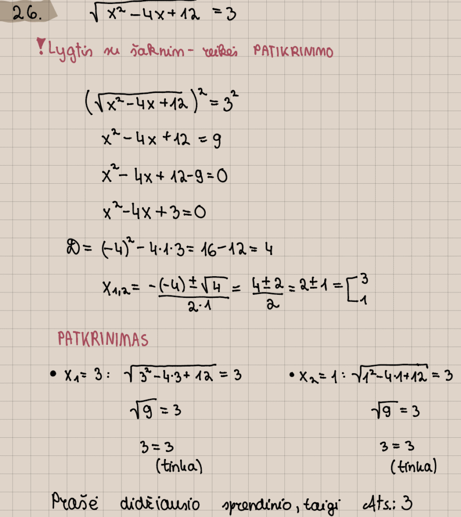
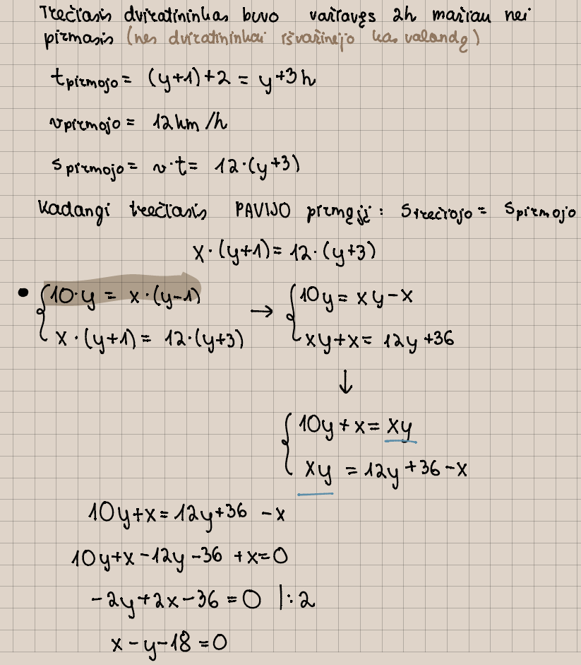
Užduotis: Sprendimas: Užduotis: Sprendimas: Užduotis: Sprendimas: Užduotis: Sprendimas: Užduotis: Sprendimas: Užduotis: Sprendimas: Užduotis: Sprendimas: Užduotis: Sprendimas: Užduotis: Sprendimas: Užduotis: Sprendimas: Grįžti į visą egzaminą