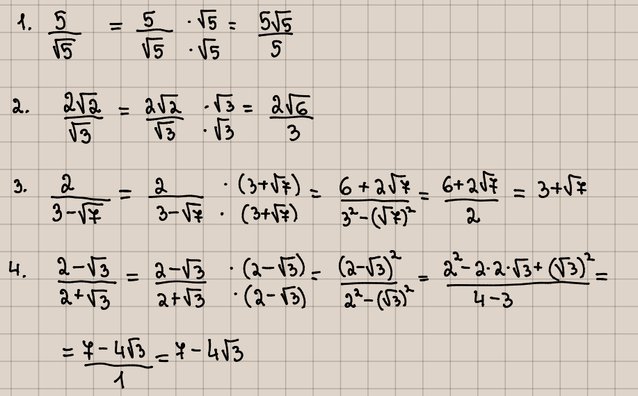
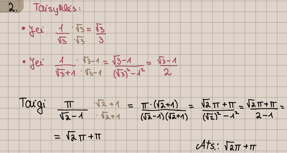
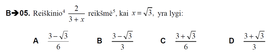
Uždaviniai: Sprendimai: Uždaviniai iš egzaminų Užduotis: Sprendimas: Užduotis: Sprendimas: Užduotis: Sprendimas: Užduotis: Sprendimas: Užduotis: Sprendimas: Grįžti į temų sąrašą